MAT1100 is an introduction to calculus, focusing on limits, derivatives, integrals, and how these tools are used to analyze and model continuous change in mathematics and physics.
A foundational course in classical mechanics covering motion, forces, energy, momentum, rotation, oscillations, and waves. This course builds the core mathematical tools used throughout all higher-level physics.
A beginner-friendly course in Python programming focused on solving real scientific problems. You learn computational thinking, numerical methods, plotting, simulations, and how programming supports modern physics and mathematics.
Real numbers are the foundation of calculus. It includes different number systems that are governed by theorems, and are often defined to be specific.


We notice a hierachy or number systems. Natural numbers (ℕ) are the lowest which means numbers like (1,2,3,4 etc). They dont account for negative numbers, for that we must include (ℤ) which entails integers. Now we have included numbers like (-1,-2,-3 etc). In order to include rational numbers such as (0.5, -0.3, 0.212 etc) we add another number system which are rational numbers (ℚ). Irrational numbers like pi or √2 are irrational and in a sense "infinite. So, we add real number (ℝ) which includes every real number! Later on we will discuss complex numbers (ℂ)Interval notation is how we apply symbols to indicate theorems/problems. for instance the symbol "(" means not includes. On page 3 at the top we can see an example entailing this. However, the symbol "[" entails that the superium IS included. Superium and inferium (SUP & INF) always include the last & first number, regardless if its in the number system we choose.
- Numbers between 2 and 5 (not included): (2, 5)- Numbers from 0 to 10 including both: [0, 10]- All numbers ≥ 4: [4, ∞)- All numbers < 3: (-∞, 3)
Every Cauchy sequence in ℝ converges to a real number.
Between any two real numbers a < b there is always another real number.
ℝ has a natural ordering (a < b, b < a etc)
Real numbers are closed under multiplication, subtraction, division and subtraction (it will always lead to another real number)
π, e, √2 CANNOT be written av fractions
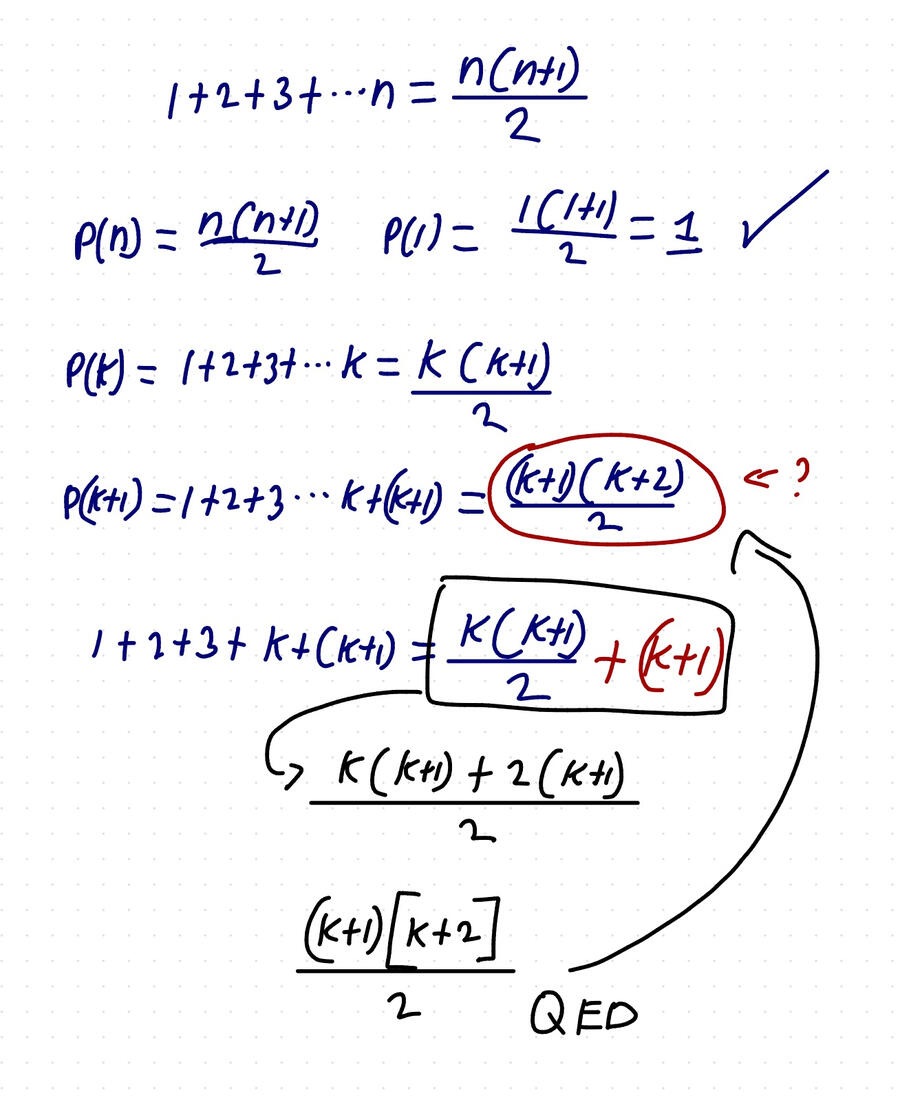
Induction is a powerful method for determining whether a recursive sequence is valid, consistent, and behaves as expected for all natural numbers. It allows you to verify that the sequence holds at its starting point and then prove that every subsequent step follows logically from the previous one. This makes induction one of the most reliable tools for establishing correctness in mathematical sequences and recursive definitions.



To use mathematical induction, we first start with a statement. This statement, P(1), must be shown to hold by proving that the left-hand side and the right-hand side of the formula are equal when (n = 1). Once the base case is verified, we assume that P(k) is true for some arbitrary natural number (k).If P(k) is true, then P(k+1) must also be true for the sequence to be valid. At this point, we get two different expressions: the known formula for P(k), and the formula we want to reach for P(k+1).The goal is to transform P(k) into P(k+1). We do this by adding the (k+1)-term to the left side of the equation and then adding the same term to the right side of P(k). Through algebraic manipulation, we show that the resulting expression matches the formula for P(k+1).Once this is done, the statement is proven by induction.

Induction proofs can only work on well ordered sets (normally ℕ)
P(k+1) works extremely well since if it works for p(k) it MUST work for p(k+1) and it can be verified mathmatically!
Inductions proofs can get tricky when alot of algebra structure starts stacking, but it is a case of trial and error, but we know what it is supposed to look like and can work our way to there :)
Pascal’s triangle is a core mathematical structure that appears throughout calculus and especially in probability. In my current course we focus on the essential idea rather than the advanced applications, which are covered in later probability semesters. At its heart, Pascal’s triangle forms one of the fundamental foundations of probability theory.




Pascal’s triangle is the backbone of combinatorics. It’s the structure behind combinations, binomial coefficients, and countless counting problems. As you move into more advanced topics, you’ll start seeing it appear everywhere—from probability theory to algebraic identities and even certain areas of physics. Many of these deeper applications come in later courses, where the triangle becomes even more essential and its full power really shows.
The formula on the fourth page shows how it can be used to get the next or previous element in the triangle. This is the binomial formula!
Problem 1: Out of 20 students, only 3 out of them gets chosen. What are the possible combinations?
we use the binomialformula to find the answer, we get then 1140 combinations.

This is the mere basics of the importance of Pascal's triangle
We only had one lecture about this, which could indicate it is not really imported in this semester
For most of the time in history, √-1 has no solutions since, no number who are the same multiplied, make -1. So in math we invented a new symbol, i! the answer to √-1 is "i". this made a whole new field in calculus where we embark a new plane, other ways of making coordinates and more!











How do we make close approximations using only logic and simple math?
Through structured reasoning, we can build estimates that come surprisingly close to the real answer. This is the core of Fermi problems — breaking down an unknown into smaller, logical assumptions that we can justify. Enrico Fermi himself was famous for this skill. During the first atomic bomb test, he estimated the explosion’s strength by dropping small pieces of paper and observing how far the blast wave pushed them. No instruments. No data. Just logic, quick math, and a disciplined mind.
Problem 1: how fast does my hair grow every hour? let's assume i cut my hair once a month, when my hair becomes to get infront of my eyes. lets say from my eyebrows to my eyes the length is about 3-4 cm which is 0.00003–0.00004 km. 1 month equals to 30 days, which are 720 hours. now dividing the length to grow and the time we get 0.000000049 km/h.problem 2: how much PHYSICAL space does a 32 USB use? lets assume our USB is 4-6 cm in length, 1-2 cm in width and 0.5-1 cm in thickness. that makes the volume about 10 squared centimeters. 32 GB = 32 000 000 000 bytes. dividing the volume with bytes we get about 0.0000000003125 cm^3 / byte!